
A study that followed thousands of mostly symptomatic patients for eight years found that those who underwent coronary CT angiography (CTA) were far less likely to die than patients who received standard care. Los Angeles investigators attributed better understanding of patients' conditions by the patients and their doctors -- and possibly better adherence to drug therapy -- as reasons for the mortality reduction.
With survival being the end point and holy grail of such trials, the news is sure to add a feather to CTA's cap at a time when evidence favoring the modality in patients suspected of coronary artery disease continues to mount. Lead investigator Dr. Matthew Budoff said the retrospective study was significant for its size, as well as its lengthy follow-up period.
Coronary CTA has been shown to provide significant prognostic information and more accurate diagnostic information -- and to do so more cost-effectively than other noninvasive tests, said Budoff, who is associate professor of medicine and chief of the LA BioMed CT Reading Center at the Los Angeles Biomedical Research Institute at Harbor-UCLA Medical Center in Torrance, CA.
"One of the remaining challenges with CTA and validation has come with requests by certain payors to provide information regarding improvement in outcomes based on undergoing a CT scan," he said. "This has been shown with abdominal ultrasound [for abdominal aortic aneurysm detection] but with no cardiology test."
He presented the study at the recent American Heart Association (AHA) annual meeting, held in Orlando, FL, and discussed the results by telephone with AuntMinnie.com.
"Basically, we undertook this study to evaluate whether patients who have undergone coronary CTA have better long-term outcomes than patients who were worked up in a more traditional manner," he said.
The study examined 4,244 symptomatic patients (mean age, 58 ± 9 years; 62% male) without known coronary artery disease who underwent coronary CTA to evaluate for coronary artery disease, as well as 1,706 patients who received standard-of-care treatment in an academic cardiology clinic.
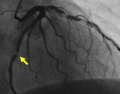
![]() |
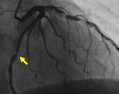
| Stenosis in left anterior descending artery detected at CT angiography (above) is confirmed at angiography (below). Images courtesy of Dr. Matthew Budoff. |
![]() |
"They were mostly symptomatic patients," Budoff said of the cohort. "Approximately 85% had chest pain or shortness of breath, while 15% had abnormal stress or functional tests."
Standard of care was mostly medical treatment with some form of functional imaging, Budoff said. So for non-CTA patients, exams included stress testing with treadmills, myocardial SPECT, and, for some, invasive angiography, "which is very good but the cost and invasiveness often preclude it," he said. "For a typical workup, most undergo functional imaging instead."
The groups were frequency-matched by age, gender, and conventional risk factors, and a multivariable Cox proportional hazards model incorporated age, gender, and risk factors for coronary disease, Budoff said. All-cause mortality was used as the primary outcome measure.
According to the results, there were no significant differences in age, gender, or conventional risk factors between the group that underwent CTA versus those receiving standard of care (p > 0.05).
During a follow-up period that lasted up to eight years (mean 80 ± 11 months), the overall death rate was 6.3% (270 deaths). The death rate was significantly lower in the coronary CTA group (n = 86, 2%), compared with the standard-of-care group (n = 184, 10.8%) (p = 0.001).
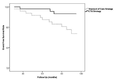
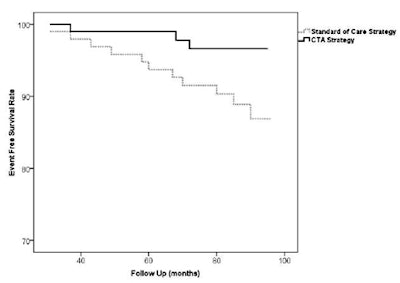
![]() |
| Chart above shows all-cause mortality based on CTA-diagnosed disease. Chart below shows event-free survival during follow-up for CTA versus standard of care. The mean 80-month survival rate was 96.7% for the CTA group versus 89.3% in the standard-of-care group. Multivariate analysis showed that undergoing coronary CTA reduced the risk of death by 52% (p = 0.0001) over the follow-up period. All data courtesy of Dr. Matthew Budoff. |
![]() |
Event-free survival was decidedly in favor of the CTA group: 96.7% versus 89.3% in the standard-of-care group, Budoff said. Multivariate analysis showed that undergoing coronary CTA resulted in a risk reduction of 52% (p = 0.0001).
"We found that patients who underwent CTA years ago had better survival compared to patients who did not," Budoff said. "We think this is largely due to three factors: first, improved compliance as patients understand that they have atherosclerosis and, therefore, act on it aggressively. Second, physician awareness and more aggressive treatments being provided, and third, more accurate diagnosis of coronary disease, leading to better long- term therapies."
Budoff cautioned that these reasons were speculative, but there are "a lot of other studies that show that people who have undergone CT scans have improved adherence to medicine," which was not monitored in this retrospective trial.
"But the large numbers of patients and the long follow-up -- the average was almost seven years -- lead us to believe that the results are similar to what you would get in a randomized clinical trial," he said.
Reflecting the long follow-up period, the equipment used on the cohort consisted mostly of 4- and 16-detector-row mechanical CT scanners, even some electron-beam CT machines. If anything, even more impressive results could be expected if the study were performed using today's technology, Budoff said.
"The results show -- at least to us -- that improved detection and visualization of atherosclerosis lead to improved outcomes," he said.
By Eric Barnes
AuntMinnie.com staff writer
November 25, 2009
Related Reading
CT-STAT trial finds CTA cheaper for solving chest pain riddles, November 19, 2009
In patients with stable chest pain, CT is more often diagnostic than exercise ECG, November 2, 2009
Lower dose for prospective CTA vs. angio, September 30, 2009
Cardiac CT matches SPECT for perfusion analysis, September 17, 2009
Negative CCTA clears chest pain patients for 3 years, inexpensively, August 26, 2009
Copyright © 2009 AuntMinnie.com























