
A new study in Radiology has found that ingesting a commercially available combination of antioxidants reduces DNA damage by more than half compared to results obtained without antioxidant protection after irradiation with doses comparable to a CT angiography exam.
When administered an hour before scanning, use of the antioxidant formula substantially reduced a common marker of DNA damage, double-strand breaks (DSBs), in 25 volunteers compared to levels measured before the scans. The difference in both in vivo and in vitro experiments in the report was large enough to reach statistical significance despite the study's small sample size, the authors stated.
The protective effect was seen in two markers of active DNA repair in the blood -- x-ray-induced γ-H2AX as well as 53BP1 foci -- an hour after exposure to 10 mGy of x-ray radiation, and was found to a lesser but still significant extent when the antioxidant formula was administered at 15 minutes before irradiation, the authors wrote (Radiology, April 16, 2012).
![]() |
| Micrograph of γ-H2AX foci after in vitro irradiation at 10 mGy (363 magnification objective). Each of the tiny green foci represents one DNA double-strand break. All images and graphics republished with permission of RSNA from Radiology, April 16, 2012, doi: 10.1148/radiol.12111730. |
The rising use of diagnostic CT scans in the U.S. has led to concerns about the long-term effects of exposure to ionizing radiation. Estimates of potential cancer risk from diagnostic x-ray exposure have ranged from 0.6% to more than 3% in various developed countries where diagnostic CT scans are common, wrote study author Dr. Michael Kuefner, from the University of Erlangen-Nürnberg, and co-authors from the University of Colorado, Duke Medical Center, and the University of North Carolina.
Double-strand breaks are considered to be the most significant DNA lesions induced by ionizing radiation, they explained. "These DNA lesions are usually efficiently repaired; however, DSB misrepair can lead to chromosomal translocations and therefore initiate carcinogenesis," Kuefner and colleagues wrote.
"Double-strand breakage is considered a significant lesion on the way to carcinogenesis," noted study author Dr. James Ehrlich in an email to AuntMinnie.com.
An early step in the DNA repair process is phosphorylation of the histone variant H2AX following induction of double-strand breaks by exposure to ionizing radiation, the group explained.
The study was based on immunofluorescence analysis of the phosphorylated histone, known as γ-H2AX, which is used to monitor DSB induction and repair. Distinct cytologic foci representing DSBs can be counted in numbers shown to correlate with the dose deposited both in vitro and in vivo.
The extent of antioxidant protection against radiation damage induced during radiologic exams remains unclear. The study aimed to investigate the effect of a commercially available combination of antioxidants on x-ray-induced γ-H2AX foci at doses typical for CT exams, the authors wrote.
Kuefner and colleagues Ehrlich; Dr. Michael Brand; Dr. Larissa Braga, PhD; Dr. Michael Uder; and Dr. Richard Semelka performed in vitro and in vivo experiments on 25 healthy volunteers following administration of the proprietary formula (BioShield-Radiation, Premier Micronutrient).
The formula consists of antioxidants and glutatione-elevating agents including calcium ascorbate (vitamin C), d-alpha tocopheryl succinate (vitamin E), natural mixed carotenoids (primarily beta-carotene), N-acetylcysteine, alpha-lipoic acid, and L-selenomethionine.
The study included both in vivo and in vitro experiments on blood taken from volunteers after exposure to radiation, and in vitro experiments conducted on blood lymphocytes of the volunteers. The experiments were conducted without antioxidants and with antioxidants added either before or immediately after exposure to 10 mGy of radiation, the group explained.
The in vivo/in vitro tests were performed a few minutes before exposure, then 15, 30, and 60 minutes afterward (n = 17), as well as two, three, and five hours (n = 11) after oral ingestion of the antioxidant pills and irradiation at 10 mGy.
DNA double-strand breaks were counted in isolated lymphocytes both five minutes before (in vivo/in vitro) and 15 minutes after (in vitro only) irradiation by counting the γ-H2AX foci.
These data were validated by additional in vitro experiments with use of 53BP1, another independent marker for DSBs, with the nonirradiated samples serving as controls. Results showed that 15-minute preincubation with the antioxidant formula significantly reduced mean γ-H2AX foci levels by 23% (p < 0.0001), whereas addition of antioxidants immediately after irradiation did not lead to a reduction of x-ray-induced foci (p = 0.6905), the authors wrote. Mean 53BP1 foci were also reduced by preincubation with the formula.
![]() |
| In vitro experiments: Above, γ-H2AX foci in blood samples pretreated for 15 minutes (15' before) and 60 minutes (60' before) with radioprotective agents (RP) and compared with nontreated controls (no RP). All samples were irradiated with 10 mGy of x-rays. Below, radioprotective agents were added to blood samples immediately after irradiation of 10 mGy (γ-H2AX foci). |
![]() |
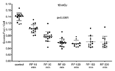
In the in vivo/in vitro tests, oral pretreatment with antioxidants also led to a significant reduction of γ-H2AX foci formation; administration 60 minutes before irradiation resulted in a mean foci reduction of 58% (p < 0.001).
![]() |
| In vivo/in vitro experiments: Blood samples were collected before (control), and 15, 30, 60, 120, 180, and 300 minutes after oral administration of radioprotective agents (RP). Samples were irradiated with 10 mGy of x-rays and incubated for five minutes following irradiation. Numbers of excess foci per cell were calculated by subtracting postexposure levels from nonirradiated controls. Dots are data of all individuals; horizontal lines and error bars are means and standard deviations, respectively. P-value of repeated-measures test is shown; p < 0.05 was considered to indicate statistical significance. |
"The tested formulation of antioxidants significantly reduced formation of γ-H2AX and 53BP1 foci after irradiation at a radiation dose typical for computed tomographic imaging; administration 60 minutes prior to irradiation seems to be appropriate and leads to a significant reduction in foci," Kuefner and colleagues wrote.
Among the 17 volunteers studied in the in vivo arm, the results showed a consistent reduction of approximately 50% of foci an hour after oral ingestion of the pills.
The main limitation of the study was its small sample size, but because of the large effect seen, the protective effects achieved statistical significance, they wrote. Larger studies will need to be performed to validate the observations, they added.
The authors also cautioned that damage to blood lymphocytes is not the same as cancer induction, either in these cells or in other cell types such as breast cells. So despite the clear reduction of x-ray-induced γ-H2AX foci by these radioprotective agents, the effect on prevention of cancer induction risk remains unclear.
"Our human studies published in Radiology prove that BioShield represents the world's first commercially available pill proven to significantly protect DNA from breakage if given before a medical x-ray," Ehrlich wrote. The formula is available commercially for less than $10 a dose.
In a separate e-mail to AuntMinnie.com, study co-author Dr. Richard Semelka wrote that although much important work has been done on the medical radiation front, including new system designs for CT, medical decision-support strategies, and information disseminated to radiologists from radiology societies, these factors are unlikely to have a major impact on "the great community of radiologists working with old systems and in a fee-for-service and highly medically litigious society setting," he wrote.
"Something simple and cheap needs to be added on that can compensate for the use of old CT systems, and CT studies that are not appropriate (for the multitude of reasons that they can be inappropriate). That simple cheap solution, as I am convinced our study shows, may be the use of an oral antioxidant pill such as BioShield to help ameliorate the risks of cancer induction from CT and other high-radiation procedures."
One of the authors, Ehrlich, serves as a consultant for BioShield manufacturer Premier Micronutrient. However, the remaining authors maintained control of inclusion of all data and information that might present a conflict of interest, the group wrote.
























